go to the AUS-e-TUTE homepage

Ibuprofen Chemistry Tutorial

Key Concepts

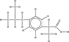
Structure of Ibuprofen

Ibuprofen contains two functional groups:

Do you know this?

Join AUS-e-TUTE!

Play the game now!

Properties of Ibuprofen

Aciditity

Ibuprofen is a weak acid, Ka = 1.2 x 10-5 (25oC)
The dissociation (ionisation) of ibuprofen in aqueous solution can be represented as shown below:

+ H+

The low value for the acid dissociation (ionisation) constant indicates that the equilibrium position lies very far to the left.
The vast majority of ibuprofen molecules in an aqueous solution will be found as the undissociated ibuprofen molecules.

Solubility

Ibuprofen contains the polar carboxyl (COOH) functional group, however, the presence of the non-polar alkyl groups and benzene ring significantly reduces the polarity of the ibuprofen molecule.
As a consequence, ibuprofen is only very slightly soluble in water (21 mg L-1 at 25oC).
Ibuprofen is more soluble in alcohols.

Improving Solubility

It is possible to buy the lysine salt of ibuprofen, ibuprofen lysine. In Australia and the UK, ibuprofen lysine is sold as Nurofen Express™.

ibuprofen + lysine lysine salt of ibuprofen
+


This is a proton transfer reaction in which ibuprofen donates a proton to lysine, forming the two ions which combine to form the salt.
This salt is more water soluble than ibuprofen because it is in an ionic form which can form ion-dipole bonds with water.
Because the salt is more water soluble, it is faster acting than molecular ibuprofen.

External (topical) Applications

Ibuprofen can be incorporated into a gel for external application to the skin.
This allows the ibuprofen to be delivered to the site of pain such as back pain, joint pain, etc, by absorption through the skin.
The outer layer of the skin consists largely of non-polar molecules, while the inner layer of the skin consists largely of polar molecules.
Ibuprofen is a relatively non-polar molecule, so it can be absorbed easily through the outer skin layer, but has difficulty penetrating the inner layer.
When mixed with a more polar solvent such as 2-propanol (propan-2-ol), the mixture is sufficiently polar to carry the ibuprofen through the inner layer of the skin, but not so polar that it will not dissolve ibuprofen.

Do you understand this?

Join AUS-e-TUTE!

Take the test now!

Synthesis of Ibuprofen

Ibuprofen is synthesized from 2-methylpropylbenzene which can be made from compounds separated from crude oil.

The skeletal formula of 2-methylpropylbenzene is shown on the right.
Notice that the only functional group is the benzene ring.
Benzene does not readily undergo addition reactions, but will undergo substitution reactions.

Compare the structure of the starting material, 2-methylpropylbenzene, with the desired product of the synthesis reactions, ibuprofen:

starting material   desired product
 
2-methylpropylbenzene   ibuprofen


The only difference between the two molecules is the chain containing the carboxyl functional group shown on the right of the ibuprofen molecule.
Therefore the synthesis of ibuprofen must involve substituting 1 hydrogen atom on the benzene ring of the 2-methylpropylbenzene starting material for this chain.

The so-called "Green" synthesis of ibuprofen involves 3 steps2.

Step 1: Acylation

In an acylation reaction, an acyl group (RCO-) is attached to the benzene ring producing a ketone.

2-methylpropylbenzene reacts with acetic anhydride in the presence of a catalyst (HF) to produce a ketone:

2 + HF
2 + H2O

Step 2: Hydrogenation

Hydrogen is added to an organic molecule in an hydrogentation reaction.

Hydrogen gas is used to reduce the ketone to an alcohol in the presence of a catalyst (Raney nickel):

+ H2 Raney nickel

Step 3: Carbonylation

Addition of CO to the alcohol to form the carboxylic acid using carbon monoxide and a catalyst (palladium):

+ CO Pd

Can you apply this?

Join AUS-e-TUTE!

Take the exam now!

Reactions of Ibuprofen

Reaction with Active Metals

Ibuoprofen is a carboxylic acid, it will react with active metals to produce a salt and hydrogen gas.

  ibuprofen + sodium sodium salt of ibuprofen + hydrogen gas
2 + 2 Na(s) → 2 Na+ + H2(g)

Reaction with Carbonates

Ibuprofen is a carboxylic acid, it will react with carbonate solutions to produce a salt, water and carbon dioxide gas.

  ibuprofen + sodium carbonate solution sodium salt of ibuprofen + water + carbon dioxide gas
2 + Na2CO3(aq) → 2 Na+ + H2O(l) + CO2(g)

Ibuprofen is a carboxylic acid, it will react with hydrogencarbonate solutions to produce a salt, water and carbon dioxide gas.

  ibuprofen + sodium hydrogencarbonate
solution
sodium salt of ibuprofen + water + carbon dioxide
gas
  + NaHCO3(aq) Na+ + H-O-H(l) + CO2(g)

Esterification

Ibuprofen is a carboxylic acid, it will react with alcohols to poduce an ester in an esterification reaction.

  ibuprofen + ethanol ester + water
+ CH3CH2OH(aq) + H2O(l)

Reaction with Base

Ibuprofen is a carboxylic acid, it will react with bases to produce a salt and water.

  ibuprofen + sodium hydroxide
solution
sodium salt of ibuprofen + water
  + NaOH(aq) Na+ + H-O-H(l)

Can you apply this?

Join AUS-e-TUTE!

Take the exam now!

Determination of Ibuprofen Content in Commercial Tablets

The ibuprofen content of commercially available tablets can be determined using a titration with a strong base.

Procedure
Preparing the alcohol solvent by neutralising any acid that may be present:3

Step 1: Fill a burette with 0.10 mol L-1 NaOH(aq).

Step 2: Add 50 mL of glycerol (1,2,3-propanetriol) and 50 mL of hot water to a conical flask and heat the mixture to about 60oC.

Step 3: Add a couple of drops of phenolphthalein indicator to the warm solution in the conical flask.

Step 4: Add the NaOH(aq) from the burette drop by drop to the flask, stirring vigorously, until a pink colour appears.

Performing the titration to determine the ibuprofen content of tablets

Step 1: Refill the burette with 0.10 mol L-1 NaOH(aq).

Step 2: Place a tablet in the flask containing the pink alcohol solution and crush the tablet with a glass stirring rod.
The solution in the flask should now be colourless.

Step 3: Add two drops of phenolphthalein indicator to the flask.

Step 4: Titrate the contents of the flask with the NaOH(aq) from the burette until a permanent pink colour appears. Record the titre.

Repeat the procedure above until concordant titres are recorded.

Calculate the average mass of ibuprofen in a tablet and compare this result with the manufacturer's claim as shown on the packet of tablets.

Sample Calculation

Sample results of experiment shown in the table below:

Experiment No.volume NaOH(aq) / mL
1 9.71
2 9.69
3 9.70

  1. Write the balanced chemical equation for the reaction between the monoprotic acid ibuprofen (R-COOH) and aqueous sodium hydroxide solution (NaOH):
    R-COOH + NaOH → R-COO-Na+ + H2O
  2. Calculate the average titre of NaOH using only the concordant titre results:
    average titre = (9.71 + 9.69 + 9.70)/3 = 9.70 mL
  3. Calculate the moles of NaOH used in the reaction with ibuprofen:
    moles = concentration (mol L-1) x volume (L)
        [NaOH(aq)] = 0.10 mol L-1
        volume NaOH(aq) = average titre = 9.70 mL = 9.70/1000 = 0.00970 L
    moles NaOH = 0.10 x 0.00970 = 9.70 x 10-4 mol
  4. Determine moles of ibuprofen in tablet:
    From the balanced chemical equation, 1 mole of NaOH reacts with 1 mole of ibuprofen
    Therefore 9.70 x 10-4 moles of NaOH reacted with 9.70 x 10-4 moles ibuprofen.
    moles ibuprofen = 9.70 x 10-4 mol
  5. Calculate mass of ibuprofen in a tablet:
    moles = mass/molar mass
    mass = moles x molar mass
        moles ibuprofen = 9.70 x 10-4 mol
        molar mass ibuprofen (C13H18O2) = (13 x 12.01) + (18 x 1.008) + (2 x 16.00) = 206.274 g mol-1
    mass ibuprofen = 9.70 x 10-4 x 206.274 = 0.200 g = 0.200 g x 1000 mg/g = 200 mg

    1 tablet was found to contain 200 mg of ibuprofen.

Can you apply this?

Join AUS-e-TUTE!

Take the exam now!


1Ibuprofen is a chiral molecule so that it exists in two forms, one form is a mirror image of the other, these are called optical isomers or enantiomers. The mixture of the two these two enantiomers is called a racemic mixture. The prefixes R and S are used to name optical isomers. Only the S form is active in the human body, so the IUPAC name for this active form is (S)-2-(4-(2-methylpropyl)phenyl)propanoic acid.

2The boots synthesis involved 6 steps, and as a consequence, produced a lower yield of ibuprofen. A comparision of the Boots synthesis and the "Green" synthesis is often used as a case study in Green Chemistry.

3Commercially available glycerol usually contains traces of acids which could affect the results of the titration unless they are neutralised first.